蒸汽對渦街流量計計量特性的影響有哪些因素
摘要:通過渦街流量計分別在以水為介質的水流量計量標準裝置、以空氣為介質的音速噴嘴法氣體流量標準裝置和以蒸汽為介質的蒸汽流量標準裝置進行比對實驗,測試了渦街流量計儀表系數和其介質的關系,實驗結果表明3種介質條件下儀表系數存在規律性偏差,利用流體力學及卡門渦街原理,結合蒸汽獨特的熱力學性質,深入分析了蒸汽對渦街流量計計量特性造成計量性能影響的因素,對渦街流量計在3種介質下儀表系數存在規律性偏差實驗結論進行了解釋和分析,得到了蒸汽和空氣流體條件下的計算擬合公式,并提出了系數修正的計算方法。
從20世紀80年代起,渦街流量計在流量計量中應用廣泛,特別是近幾年能源計量不斷得到強化,大量被應用于蒸汽流量的計量,由于其壓損小、量程比大等特點,部分取代了傳統差壓式蒸汽流量計。由于缺乏蒸汽實流檢測的手段,蒸汽對渦街流量計計量性能的影響,一直缺乏相關的實驗數據和理論分析,人們對其蒸汽測量的研究還比較匱乏。目前,國內外對渦街流量計在蒸汽測量上的溯源,普遍采用空氣或者水為介質的流量計量標準裝置代替蒸汽計量標準裝置進行檢定或校準,隨著人們對渦街流量計的深入研究,不少學者對此種方法提出了質疑,并且在實際蒸汽流量的計量中也碰到過由于檢定使用計量標準裝置的不同,出現的蒸汽計量糾紛。針對這些問題,筆者在所研制的蒸汽流量計量標準裝置的基礎上,利用水、空氣、蒸汽3種不同介質流量計量標準裝置,開展了渦街流量計的計量特性實驗測試,從渦街流量計漩渦產生機理出發,對不同流體介質影響因素進行研究,定量分析了各種流體介質對渦街流量計的計量特性造成影響的因素。
1、渦街流量計原理
渦街流量計是根據“卡門渦街”原理研制成的流體振蕩式流量測量儀表。在一定雷諾數范圍內旋渦的分離頻率與旋渦發生體的幾何尺寸、管道的幾何尺寸有關,旋渦的頻率正比于流量,其結構原理如圖1所示。

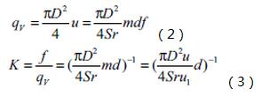
渦街流量計所測量的是旋渦發生體兩側的平均速度u1,而反映被測流量的是管道中的平均流速u,它們之間的關系式為


式中:f為旋渦頻率,Hz;Sr為斯特勞哈爾數;u1為發生體兩側的平均流速,m/s;d為發生體迎流面的寬度,m;u為被測介質來流的平均流速,m/s;m為旋渦發生體兩側弓形面積與管道橫截面面積之比,不可壓縮流體中,由于流體密度ρ不變,由連續性方程可得到m=u/u1。
由此可得體積流量為

式中K為渦街流量計的儀表系數,1/m3。
從式(3)可見,渦街流量計的儀表系數僅與其機械結構和斯特勞哈爾數相關,與來流流量無關。而K又表征著渦街流量計的計量特性,在下文中,重點分析在各種不同流體介質條件下K的變化規律。
2、理論分析與計算
蒸汽對渦街流量計計量特性的影響主要有如下3個因素:*先從式(3)中可以看出,影響K值大小的因素主要有機械結構尺寸D、m、d和斯特勞哈爾數Sr4個變量。從渦街流量計基本原理上分析,在不同流體介質條件下,機械結構尺寸的變化主要是由于溫度的變化帶來的熱脹冷縮引起,其次不同流體可壓縮性的差異也會導致儀表系數的偏差。此外Sr受雷諾數的影響,而雷諾數又受黏度的影響,流體的不同帶來黏度的不同,根據相關的研究黏度對渦街流量計儀表系數的影響可以忽略。下文主要分析前2個因素對蒸汽流量計的影響。
2.1溫度的影響
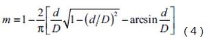
對圖1所示發生體,得到m的計算公式為

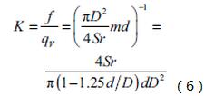
對流體流通面積而言,可以把旋渦發生體看作為矩形(寬為d,長為D,見圖1),面積比為

將式(5)帶入式(3)中得

相關的研究表明,當渦街流量計發生體為圖1所示形狀時,在d/D=0.28時,產生的旋渦強度和旋渦的穩定性*好,故取d/D=0.28代入式(6)中得

由金屬材料的線性膨脹公式得
Dt=D20[1+a(t-20)] (8)
式中:Dt為殼體溫度為t的直徑;D20為20℃時殼體的直徑;a為材料線性膨脹系數。
將式(8)帶入式(7)中得到由于溫度變化而引起的儀表系數的變化為

發生體和殼體為不銹鋼材質(1Crl8Ni9Ti),在20~300℃時線性膨脹系數a為16.6×10-6,將a和不同溫度下的Kt帶入式(9)中得到數據如表1所示。

在表1中,Kt/K20表示溫度為t和20℃時儀表系數之比,
表示溫度為t時儀表系數的相對變化量,即由于蒸汽溫度的不同所引入的計量偏差,由此計算分析可以看出溫度對機械結構尺寸的變化引起對儀表系數K的影響,隨著溫度的升高,造成的計量偏差也越來越大。
表示溫度為t時儀表系數的相對變化量,即由于蒸汽溫度的不同所引入的計量偏差,由此計算分析可以看出溫度對機械結構尺寸的變化引起對儀表系數K的影響,隨著溫度的升高,造成的計量偏差也越來越大。
2.2介質的可壓縮性引起的影響
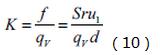
本文是基于水、空氣、蒸汽3種不同流體介質下開展的實驗研究,由式(3)得

由式(10)中可以看出,發生體兩側的介質流動速度u1與K值成正比,對于不可壓縮流體由連續性方程可推導得到u1與管道平均流速u的關系為

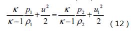
但對于可壓縮流體式(11)不再成立,流動過程遵循可壓縮流體的伯努利方程為

流動連續性方程為

等熵過程方程為

式中:k為可壓縮流體的等熵指數;p1和p2為儀表上游和發生體兩側處的壓力,Pa;ρ1和ρ2分別為儀表上游和發生體兩側處的介質的密度,kg/m3。
由式(12)~式(14)整理得

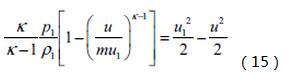
式(15)描述了可壓縮流體u和u1的關系,與描述不可壓縮流體的關系式(11)不同,三者的關系還和被測介質的等熵指數k、壓力p1、密度ρ1相關。被測介質的流量是由管道平均流速u所反映出來,而渦街流量計所檢測到的旋渦所表示的流速是旋渦發生體兩側的平均流速u1,以下分析給出了由于流體的壓縮性所引起的u1的差異性,即采用不可壓縮流體水作為介質對渦街流量計進行檢定,而實際應用于可壓縮流體所引起的計量偏差。
由于m為旋渦發生體兩側弓形面積與管道橫截面面積之比,按照渦街流量的通用設計,對三角柱形發生體,在d/D=0.28時漩渦發生的頻率信號*強,取d/D=0.28,根據m的計算式(4)得

水為不可壓縮流體,可按照式(11)計算得到u1w。空氣和蒸汽為可壓縮流體,由式(15)可得到工況下的u1a、u1e,與按照不可壓縮流體式(11)得到的u1比較,可計算分析得到由于介質的可壓縮性帶來的計量偏差。
實驗條件下空氣、蒸汽、水為測試流體介質時,各測試條件參數如表2所示。

將上述參數帶入式(15)中,采用matlab對公式進行分析計算,得到u1a、ule隨u變化的數值,并通過式(11)得到u1隨u變化的數值,設定管道平均速度u,得到的數值如表3所示。

表3的后2列分別表示了空氣、蒸汽由于可壓縮性而引入的計量偏差,由計算數據可以得出,相同管道平均流速u的條件下,可壓縮介質發生體兩側的流速均比不可壓縮流體的流速u1大,并且隨u的增大,引起的差值增大,u1的相對偏差也越來越大,在流速為50m/s時空氣由于可壓縮性可引起1.54%的偏差,蒸汽由于可壓縮性可引起0.68%的偏差,因此在渦街流量計的使用中需要考慮可壓縮介質引起的影響。
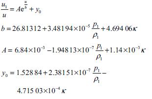
上述的分析中,只能體現出特定工況條件下,氣體的可壓縮性對儀表系數的影響,雖然式(15)全面描述了所有工況的壓縮性影響,但該式無法直觀、簡化顯示,為了直觀地體現式(15)中各變量帶來對可壓縮性的影響程度,基于不同條件下的計算數據對式(15)進行簡化擬合,根據表2中空氣工況下計算得到的u和u1的數據,擬合曲線,對比各種擬合方法,指數擬合的擬合度*高.擬合曲線的形式為
y=Aexp(x/b)+y0
式中A、b、y0分別為與工況條件p、ρ、k相關的系數。對于其他工況下也用同樣的方法擬合,擬合度均不低于0.998。在擬合過程中得到不同工況下的系數A、b、y0,分別擬合這3個系數與不同工況條件p、ρ、k的多元函數得

由擬合公式及各因子系數可以看出,k的增大會引起b和A的增大,但b增大會引起u1/u變小,A的增大會引起u1/u的變大,因此氣體等熵指數k不會引起儀表系數單方向的變化。
p1/ρ1的增大會引起b的增大和A的減小,b增大會引起u1/u變小,A的減小會引起u1/u的減小,因此p1/ρ1與引起儀表系數的變化成反比。在空氣及蒸汽2種介質條件下,空氣p1/ρ1要小于蒸汽,因此空氣介質受氣體可壓縮性的影響比蒸汽大。
2.3各因素綜合影響
設溫度、可壓縮性兩因素對渦街流量計儀表系數K的影響因子分別為Ft、Fk,以水為介質的儀表系數Kw為基準,由式(9)和式(16)得空氣和蒸汽為介質的儀表系數分別為


儀表系數偏差為

在表2所列的測試條件下,水中的儀表系數不受3個因素的影響可認為是定值,黏度的影響可忽略,計算在不同流速下,綜合因素影響,引起的儀表系數偏差Ee和Ea及空氣和蒸汽之間的偏差Ea-Ee如表4所示。

3、實驗測試分析
3.1實驗裝置
本研究所采用的實驗裝置分別為冷凝稱重法蒸汽流量計量標準裝置、負壓法音速噴嘴氣體流量計量標準裝置、質量法水流量計量標準裝置。其中冷凝稱重法蒸汽流量計量標準裝置是國內**采用蒸汽實流標定的流量標準裝置,擴展不確定度為0.1%(k=2),檢定流量范圍為0.01~10t/h,其工作原理如圖2所示,以過熱蒸汽作為檢定介質,將通過蒸汽流量儀表的蒸汽進行冷凝稱重的原理,對蒸汽流量儀表進行實流標定。氣體裝置為負壓法音速噴嘴氣體流量計量標準裝置,擴展不確定度為0.25%(k=2),檢定流量范圍為2.5~10000m3/h。水裝置為質量法水流量計量標準裝置,擴展不確定度為0.05%(k=2),檢定流量范圍為0.05~200m3/h。
3.2實驗方案
將不同廠家、型號、口徑的渦街流量計,按照渦街流量計**檢定規程要求,分別安裝在蒸汽裝置、空氣裝置上和水裝置上進行測試,其中蒸汽裝置在溫度為150℃左右、壓力在0.35MPa的條件下測試,檢定流量依次從*小流量到*大流量的20%、40%、60%、80%、100%,共計6個流量點,每個流量點重復檢定3次。目前已開展了近100臺渦街流量計的測試實驗,剔除不合格的渦街流量計,總結這些渦街流量計實驗結果,儀表系數偏差的方向上基本相似,偏差的大小具有差異,在一定的范圍內。本文中僅對具有代表性的DN50和DN1002臺渦街流量計實驗數據進行分析,比較在不同流體條件下,不同流量點儀表系數變化的情況。

3.3實驗數據
通過3套不同流體介質下的實驗測試,3套裝置下的儀表系數、儀表系數偏差以及通過分析計算得到的儀表系數偏差Ee'、Ea'、Ea'-Ee',如表5所示,儀表系數和流量的曲線關系如圖3和圖4所示。
由實驗數據可以看出,渦街流量計在空氣、水、蒸汽流體條件下儀表系數依次減小,空氣及蒸汽流體介質各點儀表系數隨流量增大而增大,與理論計算分析相一致。通過積累的實驗數據看,空氣比水為流體介質測量的K值偏大0.2%~1.0%,比蒸汽為流體介質測量的K偏大1.5%~3.0%,儀表系數K值偏差的大小因儀表廠家和規格型號的不同而變化,但偏差的正負趨勢基本一致。



4、結論
(1)在高溫蒸汽測量時,需要考慮溫度導致的線性膨脹引起的影響,否則會導致儀表系數偏大。造成的計量誤差,可按照文章中推導公式進行溫度補償。
(2)氣體的壓縮性對渦街流量計儀表系數的影響,受介質流速u、壓力p、密度ρ以及等熵指數k等相關參數的影響,與流速u成正比,與p1/ρ1的變化成反比,氣體等熵指數k不會引起儀表系數單方向的變化。
(3)不同介質的可壓縮性會對渦街流量計儀表系數產生影響,空氣介質下儀表系數*大,水次之,蒸汽*小,在同樣的流速下蒸汽介質對儀表系數的影響要小于空氣的影響,具體差別大小根據工況條件下分析計算可得到。
(4)根據實驗數據,不同介質下測量的渦街流量計儀表系數與理論計算分析相一致,但2個結果還有一定的偏差,可能是由于介質的其他物性參數引起的對儀表系數的影響,還需深入的理論分析,在實際使用中盡量采用實流標定獲得儀表系數。
相關資訊
- 渦街流量計如何正確安裝及安裝注意事項
- 渦街流量計在測量蒸汽方面的應用和難點分析
- 渦街流量計測量蒸汽流量不準確的因素分析
- 渦街流量計在蒸汽計量的問題及提高計量準確性的對策
- 渦街流量計測量原理
- 渦街流量計選型
- 渦街流量計安裝規范
- 渦街流量計接線圖說明
- 渦街流量計訂貨須知及選型樣譜
- 渦街流量計小流量切除的作用
- 渦街流量計在小流量時無信號
- 渦街流量計和質量流量計的區別
- 渦街流量計無流量有輸出的故障分析
- 渦街流量計沒有輸出原因
- 渦街流量計連接方式有哪些
- 渦街流量計夾持式和法蘭式的區別
- 渦街流量計工況和標況的區別與換算
- 渦街流量計和v錐流量計比較
- 渦街流量計的適用場合
- 渦街流量計安裝插入深度
- 渦街流量計帶溫壓補償的作用
- 渦街流量計脈沖頻率不穩定
- 渦街流量計測量不穩定是什么原因
- 渦街流量計小信號切除方法
- 渦街流量計4-20ma校準
- 渦街流量計4-20ma接線圖
- 渦街流量計精度不準解決方法
- 渦街流量計測量蒸汽不準的原因分析與解決辦法
- 渦街流量計對介質流速要求
- 渦街流量計測量介質溫度范圍

