節流孔板對風機進氣條件與能耗的影響分析
流量是決定風機基本氣動特性的重要參數之一,無論開展風機基本模型級研究、整機出廠試驗,還是風機運行監測均離不開對風機流量進行測量,另外對風機實時運行點流量測量與設計點比較,是評價風機熱力與氣動性能優劣的基本手段。因此,流量測量與監控還是風機機組長周期安全運行的必要保證與能耗評價手段。
在眾多流量測量元件中,孔板流量計因節流件**通用,且具有使用前無需實流校準、結構易于復制、性能穩定可靠、適應單相及部分混相流、價格低廉等優點。因此,在風機試驗研究與工業運行中被廣泛應用,尤其在鼓風機和壓縮機等應用場合。
孔板流量測量及對機組的影響,目前有文獻資料主要研究計量附加誤差、進口溫度、壓力、分子量發生變化時流量的補償及對防喘振計算方法探討等問題,但孔板引起風機機組進口壓力損失與機組能耗影響尚未見相關文獻報道。本文結合筆者完成的工程實例,通過不同進口流量時,孔板節流后壓力、溫度、熵增的分析,計算節流孔板引起風機不同運行點進口壓力和風機功耗的增加,為從事風機設計、試驗、運行的同行提供借鑒,也為開展流體設備降低能耗、系統節能提供新思路。
1節流孔板對風機進氣條件與能耗的影響分析
1.1節流孔板引起壓力、溫度改變
充滿管道的流體流經管道內的節流裝置,流速將在節流件處形成局部收縮,從而使流速增加,靜壓力降低,于是在節流件前后產生了靜壓力差(或稱差壓)。流體的流速越大,在節流件前后產生的壓差也越大,所以可通過測量差壓來衡量流體流過節流裝置時的流量,這種測量方法是以能量守恒定律和流動連續性方程為基礎的[4]。
孔板節流裝置通過測量孔板前后壓差計算流量,流量與壓差關系如公式(1)[5],流量系數α的*終值需通過迭代循環獲得。而本文為分析計算孔板節流產生的壓力損失,通過給定流體流量,*終確定壓力差的大小。

式中,qm為質量流量,kg/s;α為流量系數;ε為氣體膨脹系數;D為孔板內徑,m;ρu為孔板上游流體密度,kg/m3;△p為通過孔板的壓差,Pa。
1.2節流孔板引起能耗損失
氣體在管道內流經孔板的節流過程為不可逆過程,根據能量方程在忽略節流前后速度差時,經節流后氣體靜焓仍回到原值,但熵增大,對理想氣體溫度不變(其它溫度按焦-湯規律變化):

式中,hu,hd為孔板前后氣體焓值,kJ/kg;Su,Sd為孔板前后氣體熵值,kJ/kg.s;pu,pd為孔板前后氣體壓力,Pa。
節流后氣體經機組等熵壓縮升壓進入輸入管路元件或設備等,對機組來說,孔板節流引起機組有效功增加如下:

式中,ΔH為增加的有效功,kJ/kg;hc為風機前有節流孔板時,氣體等熵壓縮至出口壓力pc對應的焓值,kJ/kg;hc為風機前無節流孔板時,氣體等熵壓縮至出氣壓力;pc為對應的焓值,kJ/kg;pc為風機出口壓力,Pa。
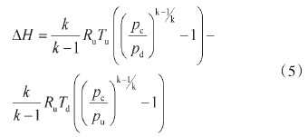
當工作介質為理想氣體時,風機壓縮過程為可逆絕熱,孔板節流引起機組有效功增加可按公式(5)計算:

2算例分析
本文計算分析工程實例系為臺灣某化工廠設計制造的硫磺制酸離心鼓風機,該鼓風機為硫磺焚燒及轉化提供所需空氣,由汽輪機驅動,于2014年投入工業使用。
鼓風機設計點進口流量788Nm3/min,總壓比1.65,進氣:空氣(成分/Vol%,N2:76.63,O2:20.31,H2O:3.06),25℃,101kPa,轉速6560r/min,葉輪三元半開式,主要參數如下:葉輪外徑878㎜,葉片出口寬度44.6㎜,葉片出口角45°(與子午面夾角),進、出口葉片數19,葉輪進口直徑482㎜,葉輪葉片進口平均直徑401mm,葉片進口寬度99.5mm,葉片法向厚度12㎜。
鼓風機進口孔板流量計為防喘系統的一部分,孔板按文獻[5]要求設計與安裝。
根據風機運行點參數,可計算出進口管路中配置的孔板所導致的風機進口壓力相對損失(pu-pd)/pu,見表1。

從表1中可以看出,設計點進口壓力相對損失近10%,*小點近3%,*大點近18%,隨流量的增加相對壓力損失變化如圖1所示。

由于進氣壓力不大,流體可按理想氣體處理,即風機進氣溫度可認為不變,但進口孔板節流對風機進口壓力的影響不容忽略,因此,在風機設計時應予以高度注意。
孔板節流引起風機消耗有效功增加,具體計算結果見表2。

從△H,△W,△H'比較可見,有效功增加量可通過查濕空氣焓濕圖或借用軟件RefProp獲得,本例介質為理想氣體還可用方程4計算獲得。孔板節流為等焓絕熱熵增過程;孔板節流引起有效功增加與正常有效功比從小流量向大流量區遞增,其中設計點約21%。
結論
結合工程實例,對不同進口流量時孔板節流后壓力、溫度、熵增分析,計算節流孔板引起風機不同運行點的進口壓力和風機消耗有效功的增加,得到如下結論:
1)從計算結果看,設計點進口壓力相對損失近10%,*小點近3%,*大點近18%,這是由于孔板產生的渦流所致[6]。因此,在配置了進口孔板的應用場合中,在風機設計時應考慮孔板節流對風機進口壓力的影響;
2)孔板節流引起風機產生消耗有效功增加,可通過查濕空氣焓濕圖或借用軟件RefProp獲得,如流體為介質理想氣體還可用式(5)計算獲得;
3)孔板節流引起有效功增加,與正常有效功比從小流量區向大流量區遞增,其中設計點約21%;
4)孔板節流元件雖然簡單易制造,但流阻較大,會增大風機能耗。因此,在管網和投資成本允許的前提下,可以選擇流阻更小的其他流量測量元件如文丘里管或文丘里噴嘴。
在眾多流量測量元件中,孔板流量計因節流件**通用,且具有使用前無需實流校準、結構易于復制、性能穩定可靠、適應單相及部分混相流、價格低廉等優點。因此,在風機試驗研究與工業運行中被廣泛應用,尤其在鼓風機和壓縮機等應用場合。
孔板流量測量及對機組的影響,目前有文獻資料主要研究計量附加誤差、進口溫度、壓力、分子量發生變化時流量的補償及對防喘振計算方法探討等問題,但孔板引起風機機組進口壓力損失與機組能耗影響尚未見相關文獻報道。本文結合筆者完成的工程實例,通過不同進口流量時,孔板節流后壓力、溫度、熵增的分析,計算節流孔板引起風機不同運行點進口壓力和風機功耗的增加,為從事風機設計、試驗、運行的同行提供借鑒,也為開展流體設備降低能耗、系統節能提供新思路。
1節流孔板對風機進氣條件與能耗的影響分析
1.1節流孔板引起壓力、溫度改變
充滿管道的流體流經管道內的節流裝置,流速將在節流件處形成局部收縮,從而使流速增加,靜壓力降低,于是在節流件前后產生了靜壓力差(或稱差壓)。流體的流速越大,在節流件前后產生的壓差也越大,所以可通過測量差壓來衡量流體流過節流裝置時的流量,這種測量方法是以能量守恒定律和流動連續性方程為基礎的[4]。
孔板節流裝置通過測量孔板前后壓差計算流量,流量與壓差關系如公式(1)[5],流量系數α的*終值需通過迭代循環獲得。而本文為分析計算孔板節流產生的壓力損失,通過給定流體流量,*終確定壓力差的大小。

式中,qm為質量流量,kg/s;α為流量系數;ε為氣體膨脹系數;D為孔板內徑,m;ρu為孔板上游流體密度,kg/m3;△p為通過孔板的壓差,Pa。
1.2節流孔板引起能耗損失
氣體在管道內流經孔板的節流過程為不可逆過程,根據能量方程在忽略節流前后速度差時,經節流后氣體靜焓仍回到原值,但熵增大,對理想氣體溫度不變(其它溫度按焦-湯規律變化):

式中,hu,hd為孔板前后氣體焓值,kJ/kg;Su,Sd為孔板前后氣體熵值,kJ/kg.s;pu,pd為孔板前后氣體壓力,Pa。
節流后氣體經機組等熵壓縮升壓進入輸入管路元件或設備等,對機組來說,孔板節流引起機組有效功增加如下:

式中,ΔH為增加的有效功,kJ/kg;hc為風機前有節流孔板時,氣體等熵壓縮至出口壓力pc對應的焓值,kJ/kg;hc為風機前無節流孔板時,氣體等熵壓縮至出氣壓力;pc為對應的焓值,kJ/kg;pc為風機出口壓力,Pa。
當工作介質為理想氣體時,風機壓縮過程為可逆絕熱,孔板節流引起機組有效功增加可按公式(5)計算:

2算例分析
本文計算分析工程實例系為臺灣某化工廠設計制造的硫磺制酸離心鼓風機,該鼓風機為硫磺焚燒及轉化提供所需空氣,由汽輪機驅動,于2014年投入工業使用。
鼓風機設計點進口流量788Nm3/min,總壓比1.65,進氣:空氣(成分/Vol%,N2:76.63,O2:20.31,H2O:3.06),25℃,101kPa,轉速6560r/min,葉輪三元半開式,主要參數如下:葉輪外徑878㎜,葉片出口寬度44.6㎜,葉片出口角45°(與子午面夾角),進、出口葉片數19,葉輪進口直徑482㎜,葉輪葉片進口平均直徑401mm,葉片進口寬度99.5mm,葉片法向厚度12㎜。
鼓風機進口孔板流量計為防喘系統的一部分,孔板按文獻[5]要求設計與安裝。
根據風機運行點參數,可計算出進口管路中配置的孔板所導致的風機進口壓力相對損失(pu-pd)/pu,見表1。

從表1中可以看出,設計點進口壓力相對損失近10%,*小點近3%,*大點近18%,隨流量的增加相對壓力損失變化如圖1所示。

由于進氣壓力不大,流體可按理想氣體處理,即風機進氣溫度可認為不變,但進口孔板節流對風機進口壓力的影響不容忽略,因此,在風機設計時應予以高度注意。
孔板節流引起風機消耗有效功增加,具體計算結果見表2。

從△H,△W,△H'比較可見,有效功增加量可通過查濕空氣焓濕圖或借用軟件RefProp獲得,本例介質為理想氣體還可用方程4計算獲得。孔板節流為等焓絕熱熵增過程;孔板節流引起有效功增加與正常有效功比從小流量向大流量區遞增,其中設計點約21%。
結論
結合工程實例,對不同進口流量時孔板節流后壓力、溫度、熵增分析,計算節流孔板引起風機不同運行點的進口壓力和風機消耗有效功的增加,得到如下結論:
1)從計算結果看,設計點進口壓力相對損失近10%,*小點近3%,*大點近18%,這是由于孔板產生的渦流所致[6]。因此,在配置了進口孔板的應用場合中,在風機設計時應考慮孔板節流對風機進口壓力的影響;
2)孔板節流引起風機產生消耗有效功增加,可通過查濕空氣焓濕圖或借用軟件RefProp獲得,如流體為介質理想氣體還可用式(5)計算獲得;
3)孔板節流引起有效功增加,與正常有效功比從小流量區向大流量區遞增,其中設計點約21%;
4)孔板節流元件雖然簡單易制造,但流阻較大,會增大風機能耗。因此,在管網和投資成本允許的前提下,可以選擇流阻更小的其他流量測量元件如文丘里管或文丘里噴嘴。
下一篇:天然氣孔板流量計量中存在的問題及對策
上一篇:熱工自動化儀表的應用與故障維修

