氣體孔板流量計工作原理
測量原理
氣體孔板流量計是將標準孔板與多參數差壓變送器(或差壓變送器、溫度變送器及壓力變送器)配套組成的高量程比差壓流量裝置,可測量氣體、蒸汽、液體及引的流量,廣泛應用于石油、化工、冶金、電力、供熱、供水等領域的過程控制和測量。節流裝置又稱為差壓式流量計,是由一次檢測件(節流件)和二次裝置(差壓變送器和流量顯示儀)組成廣泛應用于氣體。蒸汽和液體的流量測量。具有結構簡單,維修方便,性能穩定。在已知有關參數的條件下,根據流動連續性原理和伯努利方程可以推導出差壓與流量之間的關系而求得流量。
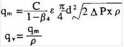
其基本公式如下:

c-流出系數 無量綱
d-工作條件下節流件的節流孔或喉部直徑
D-工作條件下上游管道內徑
qm-質量流量 Kg/s
qv-體積流量 m3/s
?-直徑比d/D 無量綱
流體的密度Kg/m3
可膨脹性系數 無量綱
基本結構
1.節流件:標準孔板、標準噴嘴、長徑噴嘴、1/4圓孔板、雙重孔板、偏心孔板、圓缺孔板、錐形入口孔板等
2.取壓裝置:環室、取壓法蘭、夾持環、導壓管等
3.連接法蘭(家標準、各種標準及其它設計部門的法蘭) 、緊固件。
4.測量管
5.孔板流量計結構圖:

環室取壓標準孔板
PN≤2.5

環室取壓標準孔板
4.0≤PN≤6.4

鉆孔取壓標準孔板
PN≤2.5

緊固式八槽孔板
PN≤10

焊接式八槽孔板
PN≤10

徑距取壓標準孔板
PN≤2.5

壓透鏡墊孔板
PN22,32

法蘭取壓標準孔板
4.0≤PN≤6.4
下一篇:氣體孔板流量計的校準
上一篇:高壓孔板流量計結構圖

