渦街流量表是怎樣計算流量的
多年工程實踐證明,選型是用好渦街流量表的關鍵環節,而選型過程中對于測量上 / 下限的核算則是重要基礎,抓住了這一基礎環節,該流量計不失為一種性能卓越的流量計。選型過程中,*先是根據工藝要求選擇正確的口徑規格,以確保流體流量介于所需準確度等級下、流量計的非常大及非常小流量測量限之內;因為線性度與測量范圍及雷諾數相關,流體的雷諾數不可超限;渦街流量表為速度式流量計,應采用工況流速進行測量范圍的性能對比。
一、渦街流量表測量下限的核算
對于智能渦街流量表的測量下限,應引起足夠重視的是:當流量低于下限時,渦街流量表將指示為零,已不能反映流量的變化趨勢。因此,在工程應用中,應考慮足夠低的測量下限余量。渦街流量表的測量下限由雷諾數、二次部件信號處理系統的增益及抗干擾能力、頻帶寬度、抗震性能認證指標及現場振動強度等因素共同制約,必須對上述因素分別進行核算,并將核算結果中的非常大值作為流量計測量下限使用,即實際測量下限:

需注意,與其他模擬式原理的流量計不同的是,渦街流量表是以計量漩渦數量測量流量,是通過信號頻率而非信號強度提取瞬時流量信息,因此,常見的通過 (4 ~ 20)mA 輸入通道進行小信號截除以穩定零點的措施,通常是無效的。零點的穩定,主要取決于渦街流量表的抗干擾能力。
1. 雷諾數限制的流量下限的核算
通常情況下,上限流量對應的雷諾數無需考慮,主要需對下限流量的雷諾數進行計算,在計算結果低于制造商標稱的雷諾數下限時,流量計不可選用。
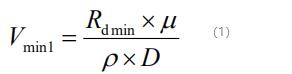
雷諾數下限導致的流速測量下限計算見式(1):

式中:Vmin1--基于雷諾數限制的工況流速下限,m/s;Rd min--為保證標稱準確度,所需非常小雷諾數;μ--流體在工況下的動力黏度,cP 或 mPa·s;ρ--流體工況密度,kg/m3;D--管道內徑,mm。對于黏度高于1cP的液體流量檢測或小于DN40的小口徑規格的選用,應不可省略雷諾數下限的核算。
2. 基于信號處理系統的增益及抗干擾能力進行流量下限的核算
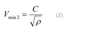
由于渦街信號強度與流體密度成正比、與流體流速的平方成正比,隨流量減小,渦街信號的強度以二階關系急劇減弱。對于低密度流體(如氣體),信號更加微弱,在小流量時需要信號處理系統提供足夠的增益 ( 放大倍數 ),并且應確保小流量時的微弱信號能夠在各類現場干擾下依舊得以正確地辨識,否則會將干擾信號頻率誤識為流量信號,產生無法預計的測量誤差,導致測量失敗。式(2)給出基于信號處理系統的增益及抗干擾能力的測量下限的核算:

式中:Vmin2--基于信號處理系統增益及系統抗干擾能力的流速下限,m/s;C--常數,由信號處理系統的增益及抗干擾能力共同決定 , 各產品存在明顯差異;ρ--流體工況密度,kg/m3。
3. 基于信號處理系統的頻帶限制導致的流速測量下限 Vmin3
信號系統的低端頻響限制,直接限制測量下限,常見產品樣本分別給出各口徑規格在測量液體、氣體、蒸汽時的流速下限,可直接引用,但切不可與抗干擾能力確定的下限混淆。
4. 基于抗震性能認證指標及現場振動強度的流速測量下限的核算
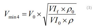
該方面導致的流速測量下限見式(3):

式中:Vmin4--基于抗震性能認證指標及現場
管道振動強度的流速下限,m/s;V0--認證時的流速下限,m/s;VIf--預計的現場管道振動干擾強度,g;ρ0--認證時的流體工況密度,kg/m3;VI0--認證的抗振動干擾強度性能,g;ρ--現場流體工況密度,kg/m3。
二、渦街流量表測量上限的核算
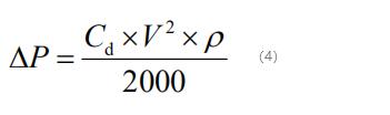
渦街流量表的測量上限,同時受限于信號處理系統高端頻響、渦街發生體及傳感器的結構承受能力、工藝要求的壓力損失*限。在流量超過信號處理系統頻響范圍上限時,渦街流量表很可能出現流量越大,指示越小的“倒走”現象,產生難于預測的誤差。在流量超出渦街發生體及傳感器的結構承受能力的上限時,易出現傳感器壽命縮短,甚至發生體或傳感器斷裂的現象,威脅下游設備的安全。過高的流速可能導致壓力損失超過工藝要求的限制,影響生產。流量計非常高壓力損失計算可采用式(4)進行:

式中:△P--流量計產生的yongjiu壓力損失,kPa;Cd--渦街流量表阻力系數,由其結構決定;V--流體工況流速,通常取非常高流速,m/s;ρ--流體工況密度,kg/m3。
制造商在產品樣本中通常已給出各口徑規格流量計對于液體、氣體、蒸汽的測量上限流速,可直接采用。
三、其他需關注的問題
1. 在對氣體進行測量范圍核算時,切勿混淆工況體積與標況體積,以免核算結果嚴重偏離,致使流量計口徑規格選擇錯誤。
2. 大口徑 / 低流速的應用問題。由于 K 系數與渦街流量表流通管內徑成反比,對于相同流速,呈現口徑規格越大,渦街頻率越低的規律。在選用 DN200及以上口徑規格的滿管式渦街流量表時,可能出現渦街頻率與流速波動頻率相近甚至相同的情形,致使渦街頻率難以正確識別,產生難以接受的測量誤差,這種情形出現的概率隨口徑規格的增大及流速的降低而升高,因此更易出現在大口徑液體檢測的應用之中,這正是大多數制造商不生產 DN300 以上規格滿管式渦街流量表的原因。在選用 DN300 以上口徑滿管式一體式溫壓補償渦街流量表時,應向制造商了解應用的限制情況。
四、結論
以上僅對渦街流量表選型過程中上 / 下限的核算提出了基本思路和方法,在實際工程應用中,還需要工程技術人員對渦街流量表的準確度、性價比、使用成本、安裝條件(包括機械振動)以及技術支持等做更深入的分析。

