渦街流量計測量熱解氣中的選型設計
摘要:渦街流量計因其儀表系數與流體特性無關、精度高、寬量程比和低壓損等優點,在化工領域的應用越來越廣。以熱解分級煉制新工藝對煤及液化殘渣進行煉制利用中的產品之一熱解氣為例,介紹渦街流量計的選型設計。
我國低階煤資源儲藏豐富,占可采儲量40%以上。然而它的高效利用一直是業內努力攻克的難題。低階煤含水量高,熱值低,機械強度低,化學穩定性差。為此,北京低碳清潔能源研究所承擔**高技術研究發展計劃項目課題“煤分級煉制清潔燃料關鍵技術研究”,采用熱解分級煉制新工藝對煤及液化殘渣進行煉制利用,在溫和的條件下對原料進行加工處理,分步驟地將其中有用的成分充分提取出來,得到的產品之一為熱解氣,去除焦油后的熱解氣組成見表1,本工程中采用渦街流量計對其進行測量。

1、渦街流量計概述
渦街流量計是20世紀70年代發展起來的一種新型流量儀表,80年代制定了渦街流量計專業標準(ZBN12008-1989)和檢測規程(JJG620-1989)。渦街流量計目前已發展成為主流流量儀表之一,因其有諸多優點,吸引了國內外眾多研究者和企業的關注。研究者從多方面對其進行深入的研究:①旋渦發生體的研究;②壓電傳感器探頭位置的研究;③數字信號處理方法的研究;④渦街信號檢測方法的研究;⑤數值仿真方法的研究。
在眾多流量計中,渦街流量計的安裝、運行、維護費低于節流式、容積式等,購置費低于容積式、質量式等,是一種實用性和經濟性都較好的流量計,受到用戶廣泛歡迎。該流量計優點如下:
(1)在一定雷諾數Re范圍內(2×104~2×106),輸出頻率信號不受流體物性(密度、粘度)和組分變化影響,即儀表系數僅與旋渦發生體的形狀尺寸及管道的形狀尺寸有關,可以在一種典型介質中校驗而適用于各種介質。
(2)精確度較高(與差壓式、浮子式流量計比較)。
(3)量程比可達10∶1或20∶1,目前已有廠家在研制適用于氣體測量能達到80∶1的渦街流量計。
(4)壓損小(約為孔板流量計的25%~50%),大幅度降低能耗。
(5)結構簡單牢固,安裝維護方便。
(6)使用范圍廣,可測量液體、氣體、蒸汽和部分混相流體。
2、渦街流量計的參數計算
2.1工作狀態和標準狀態下的體積流量換算
渦街流量計的輸出信號是與工作狀態的體積流量成正比例,氣體的體積流量受溫度、壓力影響較大,在流量計選型時,若提供的流量是標準狀態下的體積流量或質量流量,應把它換算成工作狀態下的體積流量。

式中,qV、qn分別為工作狀態和標準狀態下的體積流量,m3/h;P、Pn分別為工作狀態和標準狀態下的絕對壓力,Pa;T、Tn分別為工作狀態和標準狀態下的熱力學溫度,K。
2.2雷諾數、壓力損失和背壓的計算
在渦街流量計選擇流量計通徑時,主要是對流量下限值進行核算雷諾數,*小雷諾數不應低于下限雷諾數,即雷諾數Re≥2×104。在測量介質為液態時,還應檢查*小工作壓力是否高于工作溫度下的飽和蒸汽壓,即是否產生氣穴現象。
(1)雷諾數Re是一個表針流體慣性力與粘性力之比的無量綱量:

式中,Q為體積流量,m3/h;D為流量計內徑,mm;v為運動粘度,m2/s。
(2)壓力損失:選擇流量計時,通常可能會對流量計的通徑進行適當縮小,以取得較大的流速和合適的流量量程。但是如果縮徑過于嚴重,可能會導致較大的壓力損失,能耗會增加,因此在選擇流量計的通徑時,也需要適當考慮壓力損失,盡可能減小壓力損失。壓力損失△P計算:

式中,△P為壓力損失,kg/m2;ρ為流體密度,kg/m3;V為流速,m/s。
(3)背壓:測量液體的流量時,要確認工藝管道的壓力對于較小的公稱通徑而言有足夠大的背壓,避免氣穴產生。流量計下游的管道壓力應滿足:

式中,P為流量計下游3.5~7.5D的*小管道壓力,kg/cm2(A);P0為液體的飽和蒸汽壓,kg/cm2。
(4)根據工藝要求及現場安裝環境選擇耐壓、耐溫等級、防護等級、防爆等級、輸出信號等。3測量熱解氣的渦街流量計的選型設計熱解氣的組分如表1所述,其工藝參數:操作密度0.63kg/m3,運動粘度2×10-5m2/s,操作溫度48.9℃,操作壓力7.5kPa,管道DN80,*小流量50Nm3/h,正常流量100Nm3/h,*大流量150Nm3/h,儀表測量范圍選擇0~180Nm3/h。因為本裝置為試驗裝置,在裝置運行的過程中,業主可能會根據需要適當調整參數,因此選擇量程比寬一些的流量計會有助于調整后的測量;另外熱解氣作為產品之一,其流量是驗證工藝與關鍵設備的工程可行性、優化工藝參數的關鍵參數之一,因此使用精度高一些的流量計也是有必要的;熱解氣的組分隨著參數的調整也可能會發生變化,因此基于伯努利方程原理的,如孔板、噴嘴、阿牛巴、德爾塔巴、平衡式等都不能很好的測量,因為這類流量計受流體物性(密度、粘度)和組分變化影響,且*終的熱解氣產品或多或少都有焦油的存在,時間長了可能堵塞流量計。楔式流量計帶自清潔的功能,如果采用法蘭取壓,變送器采用隔膜密封式變送器,其受焦油的影響較小,楔式流量計的計算結果分別見圖1和圖2。


當H/D比為0.2時,其壓力損失達到4kPa,已經大于操作壓力的一半,此種方案不可取,當H/D比為0.3時,其壓力損失為1.09kPa,可以接受,但*小流量時的差壓只有0.11kPa,甚至正常流量時的差壓也只有0.45kPa,由于采用的是隔膜密封式變送器,此時的精度無法保證;另一類是基于線性連續方程原理的,如渦街流量計、質量流量計等,考慮到本裝置為一個實驗裝置,質量流量計價格昂貴,因此綜合考慮介質和裝置的特殊性、壓損、精度和費用等因素,本工程中選用渦街流量計測量熱解氣的流量。
由式(1)可得*小流量對應的工作狀態下的體積流量:

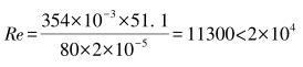
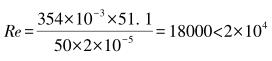
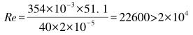
由式(2)可得流量計口徑為DN80時的雷諾數:

因此需適當縮小流量計尺寸,縮小至DN50時的雷諾數:

流量計縮小至DN40時的雷諾數:

由上述計算結果可知,當流量計縮徑至DN40時,雷諾數即可滿足要求。
按式(3)可以核算下DN50和DN40口徑下的*大壓損:
DN50時:

DN40時:

利用橫河公司計算軟件計算出來的結果見圖3。

從圖3可見,出流量計口徑為DN80時,*小流量無法測量;流量計口徑縮徑至DN50時,*小流量可測(此時流體的雷諾數非常接近2×104),但此時的測量精度稍微差些;流量計口徑縮徑至DN40時,*小流量可測,且精度也能得到保證。用上述公式計算的壓損與軟件計算出來的也基本一致,差別來自計算時流速及流量計口徑均采用的是估算值。如果流量計縮徑至DN25時,流量計的壓損已經達到7.6kPa,壓損較大,無法滿足工藝要求。因此選擇DN40口徑的流量計能滿足要求。對于DN50口徑的方案,如果流量大于54Nm3/h時,流量計的精度為此款流量計的*佳精度,為1.0%,當流量為50Nm3/h時,此時流量可測,只是精度稍差些,約為1.81%,但流量計的壓損會小很多,從節能降耗方面考慮,選擇DN50口徑的流量計也是可以的。綜上,選擇DN40和DN50口徑的渦街流量計都能滿足要求。
操作溫度為48.9℃,沒有特殊性,選擇普通的渦街流量計即可;根據現場情況,流量計為露天安裝,防護等級選擇IP65即可;根據《爆炸危險環境電力裝置設計規范》GB50058-2014,本裝置中各介質所在組別屬于危險物料,見表2。因此儀表的防爆標志選擇ExiaⅡCT4Gb即能滿足要求。根據項目統一要求輸出信號選擇為4~20mA+HART。

至此,渦街流量計的選型已完成,但考慮到熱解氣中焦油的存在,選擇渦街流量計時,需要注意:
①不能選用因為技術需要而在渦街流量計中設計了小孔結構的流量計,因為焦油有可能堵塞這些孔,從而失去其原有的作用;
②焦油有可能附著在旋渦發生體上,從而改變其結構,影響測量精度,因此需要采用帶防粘附作用的發生體,另外考慮到熱解氣中焦油的含量較小,且由于旋渦的存在,其有剝離附著在發生體上的焦油的作用,因此認為其對測量精度的影響比較小。
4、結語
目前項目已經開車成功,渦街流量計現場使用效果特別好,在整個實驗的過程中,都能很精確地測出熱解氣的流量,深受業主好評。現場的使用結果表明,在發生體帶防粘附作用的情況下,低含量的焦油對流量計的測量精度影響不大。
目前化工廠常用的流量計節流裝置 (孔板等),其受流體物性影響大,量程比一般只有3: 1,且容易出現堵塞,直管段要求甚至高達50倍管徑,另外導壓系統還容易出現泄漏。渦街流量計因其儀表系數與流體特性無關 (氣液通用)、精度高、寬量程比和低壓損等優點,是節流裝置的理想替代品,但只有正確設計、正確選型以及正確安裝的條件下才能發揮其應有的作用。
相關資訊
- 渦街流量計如何正確安裝及安裝注意事項
- 渦街流量計在測量蒸汽方面的應用和難點分析
- 渦街流量計測量蒸汽流量不準確的因素分析
- 渦街流量計在蒸汽計量的問題及提高計量準確性的對策
- 渦街流量計測量原理
- 渦街流量計選型
- 渦街流量計安裝規范
- 渦街流量計接線圖說明
- 渦街流量計訂貨須知及選型樣譜
- 渦街流量計小流量切除的作用
- 渦街流量計在小流量時無信號
- 渦街流量計和質量流量計的區別
- 渦街流量計無流量有輸出的故障分析
- 渦街流量計沒有輸出原因
- 渦街流量計連接方式有哪些
- 渦街流量計夾持式和法蘭式的區別
- 渦街流量計工況和標況的區別與換算
- 渦街流量計和v錐流量計比較
- 渦街流量計的適用場合
- 渦街流量計安裝插入深度
- 渦街流量計帶溫壓補償的作用
- 渦街流量計脈沖頻率不穩定
- 渦街流量計測量不穩定是什么原因
- 渦街流量計小信號切除方法
- 渦街流量計4-20ma校準
- 渦街流量計4-20ma接線圖
- 渦街流量計精度不準解決方法
- 渦街流量計測量蒸汽不準的原因分析與解決辦法
- 渦街流量計對介質流速要求
- 渦街流量計測量介質溫度范圍

