溫度、壓力自動補償是蒸汽準確計量的保證
渦街流量計具有安裝方便,測量范圍寬,精度高,重復性好,維修簡便等特點,廣泛應用于蒸汽流量計量。基于渦街流量計的測量原理和蒸汽的特有性質,要實現準確計量,特別是對于貿易結算的表計,實際使用中還需注意以下問題。
1、流量計合理選型和安裝是蒸汽準確計量的前提
1.1流量計選型
原則是以流量選口徑,但要滿足以下兩個條件。
1.1.1管道雷諾數的要求
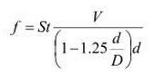
渦街流量計是通過檢測流體經過旋渦發生體處產生的旋渦數(即旋渦頻率)而求得一段時間間隔內流過的流體總量,如下式所示。

式中f---旋渦頻率,Hz
St---斯特羅哈常數
V---管道中流體的速度,m/s
d---發生體柱寬,mm
D---管道內徑,mm
當雷諾數Re在2×104~7×106之間時,式中斯特羅哈爾數St基本為一常數,流量計獲得的頻率與流體的流速成正比關系,這是儀表的正常工作范圍,超出這一范圍,流量計的測量精度就會降低。當Re<5000時為測量死區。
1.1.2蒸汽在管道流速的要求
由于渦街流量計是通過測量旋渦的釋放頻率達到測量流量目的的,所以流體的流速應有限制,不同的口徑有不同的流速要求。一般型渦街流量計測量的技術指標是,管道通徑為DN15~300mm時,測量蒸汽的*大流速為80m/s(選型時常按*大流速的0.8選取)。流速過大易產生嘯叫,并容易使渦街的傳感器損壞。流速的下限要求是,保證測量的精度,當管道通徑為DN15~100mm時,*小流速一般取3m/s或雷諾數為20000時的流速的較大值;當管道通徑為DN150~300mm時,一般取3m/s或雷諾數為40000時的流速的較大值。
1.2流量計安裝
原則是保證直管段,避開振動源及電磁干擾。直管段具有整流的作用,保持一定的直管段就是保持蒸汽的在管道的流動狀態。
1.2.1測壓口位置的安裝選擇
在貿易結算時一般按蒸汽的質量進行結算,要將蒸汽的體積流量換算成質量流量,必不可少的是測量出旋渦發生體處蒸汽靜壓力,此處靜壓力由于流速較高,比渦街流量計上游管道內蒸汽壓力低一些。
若在此處準確地測量靜壓力,由于多種原因有一定困難。但在流量計下游一定距離的管道上,測量到能與發生體后面傳感器處的靜壓相等或接近的靜壓,是一個可行的方法,也符合GB/T2624-1993標準中4.4.1條規定“流體的靜壓應在上游或下游取壓口平面處測得”。一般合適的距離為從流量計下游法蘭算起2~7倍管道內徑。
1.2.2測溫口位置的安裝選擇
GB/T2624-1993標準中規定“流體溫度*好在節流件下游測得”,“如溫度計插孔或套管位于下游,它與節流件之間的距離等于或大于5D”。測溫口一般位于測壓口下游的1~2倍管道內徑處。
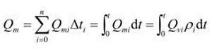
2、溫度、壓力自動補償是蒸汽準確計量的保證
貿易結算中,蒸汽是按質量流量mQ計量的。對于渦街流量計來說,實際測得是體積流量Qv,再經過計算而得到質量流量,即:
ρi=Qmi*Qvi
式中
Qmi---單位時間的蒸汽質量流量,kg
Qvi---單位時間的蒸汽體積流量,m3
ρi---單位時間的蒸汽密度,kg/m3,與蒸汽的溫度、壓力有關其累計總量為:

2.1飽和蒸汽的溫度、壓力補償
飽和蒸汽采用溫度補償或壓力補償,在本質上是一樣的。其原因在于飽和狀態的蒸汽,其壓力和溫度之間呈單值函數關系,從蒸汽溫度查出的密度同與此溫度對應的壓力查出的密度是一致的,即ρ=f(ρ)或tf=ρ。因此,采用溫度補償和壓力補償在原理上都是可行的。
2.1.1飽和蒸汽采用溫度補償和壓力補償的比較

顯然,壓力補償得到的補償精確度比溫度補償高。由于上述原因,使得在測量飽和蒸汽質量流量時,僅僅測量壓力,并據此查蒸汽密度表,進而計算質量流量,在實踐中應用的較多。
2.1.2飽和蒸汽的濕度問題
飽和蒸汽易凝結,在傳輸過程中如有熱量損失,蒸汽中便有液滴或液霧形成。另外鍋爐在正常工作中,鍋爐汽包中的水處于沸騰狀態,汽液之間不容易徹底分離。蒸汽中含有液相水珠的飽和蒸汽稱為濕飽和蒸汽。表征濕飽和蒸汽的主要參數有壓力(p)、溫度(t)、密度(ρ)、比焓(h)、干度(x)或濕度(y),且有如下關系:

式中
m1---濕蒸汽中汽的質量
m2---濕蒸汽中水珠的質量
m---濕蒸汽中汽液的總質量
準確計量飽和蒸汽質量流量比較困難,因為飽和蒸汽的干度難以保證,蒸汽干度的波動也會引起流量計示值產生附加誤差。必要時還應采取補償措施,選用帶有濕度補償的流量積算儀,以實現準確的計量。
2.2過熱蒸汽的補償
過熱蒸汽是單相流體(x=100%)。過熱蒸汽的溫度和壓力是兩個互不相關的獨立變量,過熱蒸汽的密度由這兩個參數決定,即f(,)tpρ=,因此必須采用溫度、壓力的自動補償。
例如某公司一用戶流經流量計蒸汽參數為:壓力0.55MPa、溫度165℃,為過熱蒸汽,查表此時對應蒸汽的密度為2.842kg/m3。而在0.55MPa壓力下對應飽和蒸汽的密度查表為2.918kg/m3,在165℃溫度下對應飽和蒸汽的密度查表為3.671kg/m3。
若按飽和蒸汽壓力補償,測量誤差為δmp=(2.918-2.842)/2.842=2.67%
若按飽和蒸汽溫度補償,測量誤差為δmt=(3.671-2.842)/2.842=29.17%
可以看出,如果渦街流量計不采用溫度、壓力自動補償,又不能實時地檢測蒸汽的密度,設定為飽和蒸汽補償或只按密度不變的原則將密度定為常數,而在實際情況下,密度變化很大,致使蒸汽質量流量計量不準,一般誤差高達10%~30%。
3、提高蒸汽流量計量精度不可忽視的幾個問題
3.1溫度變化的影響
渦街流量計及其旋渦發生體一般都為金屬材料制作。金屬固體在高溫下具有熱膨脹的特性。當溫度變化較大時,發生體的柱體寬度和流量計的本體通徑將隨之變化,這將引起測量誤差。K系數可用下式進行修正。

式中
tK---流體溫度為t時的流量系數,P/L
mK---流體溫度為
t0---時的平均流量系數,P/L
t---工作溫度,℃
t0---校準溫度,常取15℃
3.2管道內徑引入的誤差
與渦街流量計連接的管道,其內徑與渦街流量計管內徑完全一致的情況并不很多。當管道內徑等于或略大于渦街流量計測量管內徑時,流量示值穩定,流量系數正常。但當管道內徑小于測量管內徑時,流量示值出現強烈的噪聲,這是因為流體流過截面積突變的管段時產生的二次流所致。在管徑大于測量管內徑時,也有二次產生,只因二次流存在的部位在測量管之外,對儀表示值影響不明顯。
當管道內徑小于測量管內徑(3%以內)時雖然不會對儀表本身所固有的流量系數產生影響,但因截面積突變引起表觀流速變化而可能產生附加測量誤差。這時可通過修正流量系數時可通過修正流量系數Km來補償,其修正后流量系數K'm為:

式中
FD---修正系數
D1---流量計測量管實際內徑
D2---管道實際內徑
3.3對流量積算儀的要求
3.3.1流量積算儀時鐘對流量累積的影響

可以看出,流量積算儀的時鐘對累積流量有較大的影響,在貿易結算中要進行必要的修正。
3.3.2作為貿易結算的流量積算儀應具備的功能
為減少蒸汽流量計量貿易糾紛,流量積算儀可增加以下功能:
①斷電記憶功能,以此檢查流量計斷、送電時間;
②用汽判斷功能,由于渦街流量計易受振動的影響,可以根據溫度、壓力參數值可以判斷管道內是否有蒸汽流動和閥門是否內漏,消除用戶在不用蒸汽時振動的影響。
④小流量補足記錄功能,當瞬時流量小于渦街流量計可測流量時,實現用戶協議保底量的自動累積。
⑤超流量加倍記錄功能,當瞬時流量超過協議*大用汽量時,根據規定實現加倍計量的自動累積。
下一篇:渦街流量計在安裝運行過程容易出現的問題
上一篇:蒸汽流量計的選型安裝和維護管理分析
相關資訊
- 蒸汽流量計與閥門的安裝距離
- 蒸汽流量計和調節閥的安裝順序
- 蒸汽流量計溫壓補償安裝規范
- 蒸汽流量計冷凝罐安裝規范
- 蒸汽流量計一體式和分體式的區別
- 蒸汽流量計的作用和用途
- 蒸汽流量計的內部結構圖
- 蒸汽流量計的優缺點
- 蒸汽流量計常見故障分析與處理
- 關于蒸汽孔板流量計測量原理及常見誤差分析
- 蒸汽孔板流量計安裝要求
- 蒸汽孔板流量計安裝圖
- 鍋爐蒸汽流量計怎么安裝
- 鍋爐蒸汽流量計如何選型
- 過熱蒸汽流量計的選型
- 溫壓補償蒸汽流量計選型
- 溫壓補償蒸汽流量計種類
- 如何選擇水蒸汽流量計
- 分體式蒸汽流量計管式安裝
- 高溫高壓蒸汽流量計安裝規范
- 一體式蒸汽流量計如何選型
- 工業蒸汽流量計安裝規范
- dn100蒸汽流量計流量范圍
- dn200蒸汽流量計安裝尺寸參數
- 插入式蒸汽流量計安裝要求
- 孔板蒸汽流量計的安裝要求
- 孔板蒸汽流量計選型注意事項
- 蒸汽流量計有什么種類
- 蒸汽流量計計量不準是什么原因
- 渦街蒸汽流量表內部結構

