蒸汽流量計用氣體流量標準裝置不確定度評定
摘要:以臨界流文丘里噴嘴法氣體流量標準裝置為代表,扼要闡述了具有蒸汽流量計校準功能的標準表法氣體流量標準裝置測量不確定度評定方法和步驟。
1、氣體流量標準裝置介紹
標準表法流量標準裝置以標準流量計為標準器,使流體連續通過標準流量計和被檢流量計,比較兩者的輸出瞬時流量值,或比較一段時間內的累積流量值,從而確定備件流量計的計量性能。臨界流音速噴管氣體流量標準裝置作為一種典型標準表法氣體流量標準裝置,主要由氣源、試驗管路、并聯臨界流音速噴管組和控制設備四部分組成。
公司2007年建成了一套以臨界流音速噴管組為標準表的氣體流量標準裝置,裝置作為壓縮空氣和蒸汽兩種介質流量計共用的流量標準,設計中采用*為科學和權威的蒸汽流量計量溫度、壓力補償的數學模型,通過氣體流量裝置與**蒸汽流量計量煙臺檢定站蒸汽流量標準裝置實流標定比對、數據擬合處理,確保準確可靠地實現蒸汽流量計校準。
2、氣體流量標準裝置不確定度評定
2.1數學模型
本裝置采用臨界流音速噴管作為標準表,流體介質為空氣,其單個臨界流音速噴管的實際質量qm和體積流量qv計算公式為:

式中:ρ、p、T分別為被檢流量計處的空氣密度(kg/m³)、絕對壓力(Pa)、熱力學溫度(K)
A—噴嘴喉部面積;(mm)C—噴嘴流出系數;C—臨界流函數;P0—噴嘴前氣體的滯止壓力(Pa);T0—噴嘴前氣體的滯止溫度(K);R—通用氣體常數, 其數值為8314.51J/(kmol.K);M—空氣千摩質量, 其數值為28.9625kg/(kmol)。
作為標準表法氣體流量標準裝置,本裝置利用多個臨界流音速噴管(標準流量計)并聯方法,累加流過每個臨界流音速噴管氣體流量來擴大裝置的氣體流量范圍。由于每個臨界流音速噴管都是獨立工作的,所以n個臨界流音速噴管并聯組合后裝置氣體流量測量不確定度可以表示為

由(3)式可以得出:多個臨界流音速噴管并聯組合后并不會降低標準裝置的測量不確定度,此時裝置測量不確定度一定不超過噴管組中單個臨界流音速噴管氣體流量不確定度的*大值。因此,可以依據式(1)數學模型,通過評定單個臨界流音速噴管氣體流量不確定度方法,確定多個臨界流音速噴管組合后裝置氣體流量測量不確定度。
2.2輸入量標準不確定度的評定
由于檢定和使用音速噴管時都是在空氣介質下進行的,A、C*、M和R的值相同,因此可忽略該四項引入的不確定度。
(1)流出系數C的不確定度
按照JJG 620-2008《臨界流文丘里噴嘴檢定規程》要求,在95%的置信概率下,U=0.2%。因測量次數為6,可得 t95=2.45,則有

(2)音速噴管入口處滯止壓力P0的不確定度
所用壓力變送器滿量程為1000kPa,允許誤差為滿量程的0.1%,因此,當P0取800kPa時,按均勻分布,則有

(3)音速噴管入口處滯止溫度T0的不確定度
所用溫度變送器滿量程為100℃,允許誤差為滿量程的0.1%;考慮滯止容器溫度不均勻性(0.2K)影響,因此,當T0取300K時,按均勻分布,90%可靠,則有

(4)被檢流量計處的溫度T和壓力P的不確定度
本裝置中被檢流量計處溫度T和壓力P的測量儀器與測量音速噴管入口滯止溫度壓力的儀器相同,單獨考慮檢定管路內溫度不均勻性為0.5K。因此可得

(5)計時器的不確定度
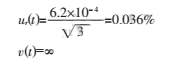
當被檢表為累積式流量計(如渦街流量計)時,考慮計時器的不確定度。由于計時器時間間隔*大相對不確定度出現在*短測量時間,本裝置一次檢定*短時間為30s。
本裝置選用標稱頻率3.5×10-4和6.2×10-4 的晶振,校準**給出準確度分別為3.5×10-4和6.2×10-4,按*低準確度和均勻分布考慮,則有

(6)空氣與蒸汽介質換算引入的不確定度
①比對分析蒸汽流量標準裝置不確定度和穩定度引入的分量
**蒸汽流量計量煙臺檢定站蒸汽流量標準裝置采用冷凝稱重法原理,試驗介質為干飽和蒸汽、微過熱蒸汽。裝置的不確定度U=0.18%(p=95%);裝置的穩定性δ=0.068%。

②蒸汽密度計算引入的分量
蒸汽密度計算采用“工業用IFC1967公式”計算法就是根據“工業用IFC1967公式”采用微機技術實現蒸汽密度輸出。1967IFC公式為IFC(國際公式化委員會)針對水蒸氣熱力性質數據統一,于1967年提出并獲得國際共同認可的水蒸氣密度權威計算公式?,F在各國使用的水和水蒸氣熱力性質圖表,都是根據1967IFC公式計算編制的。
經實際計算該項*大偏差為±0.02%,引入的不確定度為

③比對試驗用渦街流量計測量重復性引入的測量不確定度
比對試驗采用的渦街流量計為準確度等級為1.5級,金湖凱銘儀表有限公司生產的KTUD-23型渦街流量計。在蒸汽標準裝置檢定,確定重復性為0.7%,按均勻分布,80%可靠。

④空氣與蒸汽介質換算引入的分項不確定度

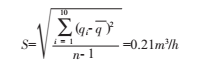
(7)裝置重復性引入的測量不確定度
選用渦街流量計在DN50管線上重復10次,測量結果分別為:184.23、184.05、183.96、183.87、182.78、183.78、183.60、183.69、183.60、183.05(單位Nm³/h),計算得到:

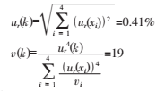
2.3臨界流音速噴管氣體流量標準裝置不確定度評定

3、結論
多個標準流量計并聯組合的標準表法流量標準裝置的流量測量不確定度不超過標準流量計組中單個標準流量計流量測量不確定度的*大值,這一理論,為標準表法流量標準裝置測量不確定度數學模型簡化提供了可靠的理論依據。具有蒸汽流量計校準功能氣體流量標準裝置測量不確定度評定應充分考慮蒸汽和空氣介質換算引入的各不確定度分量。
相關資訊
- 蒸汽流量計與閥門的安裝距離
- 蒸汽流量計和調節閥的安裝順序
- 蒸汽流量計溫壓補償安裝規范
- 蒸汽流量計冷凝罐安裝規范
- 蒸汽流量計一體式和分體式的區別
- 蒸汽流量計的作用和用途
- 蒸汽流量計的內部結構圖
- 蒸汽流量計的優缺點
- 蒸汽流量計常見故障分析與處理
- 關于蒸汽孔板流量計測量原理及常見誤差分析
- 蒸汽孔板流量計安裝要求
- 蒸汽孔板流量計安裝圖
- 鍋爐蒸汽流量計怎么安裝
- 鍋爐蒸汽流量計如何選型
- 過熱蒸汽流量計的選型
- 溫壓補償蒸汽流量計選型
- 溫壓補償蒸汽流量計種類
- 如何選擇水蒸汽流量計
- 分體式蒸汽流量計管式安裝
- 高溫高壓蒸汽流量計安裝規范
- 一體式蒸汽流量計如何選型
- 工業蒸汽流量計安裝規范
- dn100蒸汽流量計流量范圍
- dn200蒸汽流量計安裝尺寸參數
- 插入式蒸汽流量計安裝要求
- 孔板蒸汽流量計的安裝要求
- 孔板蒸汽流量計選型注意事項
- 蒸汽流量計有什么種類
- 蒸汽流量計計量不準是什么原因
- 渦街蒸汽流量表內部結構

